淡江大學一直是轉學考的熱門學校,也是私校的前段大學。學校有開設非常多科系,多元學習的環境,以及豐富的教學資源,是轉學的不錯選擇。
挑選詢問度最高的商科,使用TKB XO題庫提供微積分解答給大家,微積分並沒有這麼難,只要多練習考古題,增加熟練度理解觀念,微積分將會是你決勝關鍵!
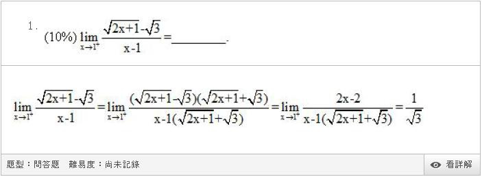
以下為淡江大學101學年 商管組 微積分










※延伸閱讀
招生資訊:103年寒轉各校公告資訊
優惠活動:TKB XO考古題解答贈送中
詳細諮詢請洽:
文章標籤
全站熱搜
淡江大學一直是轉學考的熱門學校,也是私校的前段大學。學校有開設非常多科系,多元學習的環境,以及豐富的教學資源,是轉學的不錯選擇。
挑選詢問度最高的商科,使用TKB XO題庫提供微積分解答給大家,微積分並沒有這麼難,只要多練習考古題,增加熟練度理解觀念,微積分將會是你決勝關鍵!
以下為淡江大學101學年 商管組 微積分










※延伸閱讀
招生資訊:103年寒轉各校公告資訊
優惠活動:TKB XO考古題解答贈送中
詳細諮詢請洽: